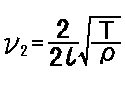
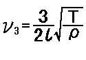
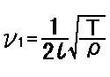
弦の固有振動数


長さl[cm]、線密度p[g/cm]の弦に張力Tを加えて弾いたときに

起こる固有振動の振動数をv[Hz]とすると、

ram=

V=
から、
V=
と表せる。
shindou 波長 振動数
基本振動 sindou hatyou koyu
2倍振動 shindou hatyou koyu
3倍振動 shindou hatyou koyu

参考文献
 ・六訂 物理学実験/吉田卯三郎、武居文助、橘芳實、武居文雄 著/三省堂/1983年12月10日発行
 ・物理の考え方 下/木暮隆夫 著/増進会出版社/1997年3月20日発行



te実験の理論と原理 に戻る
te「音叉の振動の仕方の違い」に進む