maru 実験方法 4-1 maru

「電磁音叉の振動数をもとめる 」

ここまでで得た値より電磁音叉の振動数vをもとめるには、

○弦の張力Tをもとめる
皿と分銅の質量の合計をMとすると、皿の質量m1、分銅の質量m2より


Mmm

弦の張力Tは皿と分銅の質量の合計Mをに重力加速度gを掛けたものであることより、


tmg

でもとめられる

○弦の線密度pをもとめる
弦の質量m、弦の長さlより、弦の線密度pは弦の質量を長さで割ったものであるから、
pml

でもとめられる

○定常波の波長の平均値ramをもとめる

(電磁音叉の振動が弦と垂直な場合)


定常波の波長の平均値をram1とすると、それぞれの節の値n1n2n3...から、


siguma1

でもとめられる


(電磁音叉の振動が弦と平行な場合)


同様に、定常波の波長の平均値をram2とすると、それぞれの節の値n1'n2'n3'...から、


siguma2

でもとめられる


○以上から電磁音叉の振動数vをもとめる

(電磁音叉の振動が弦と垂直な場合)


弦の振動数ををv1とすると、
mihon
sindousu

でもとめられる


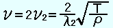
(電磁音叉の振動が弦と平行な場合)


同様に、弦の振動数をv2とすると、


sindousu

でもとめられる
te波長の違いが起こるわけ
te実験方法5-1へ
temeldeの実験に戻る

参考文献
 ・六訂 物理学実験/吉田卯三郎、武居文助、橘芳實、武居文雄 著/三省堂
 ・物理の考え方 下/木暮隆夫 著/増進会出版社
 ・医学歯学のための物理実験/鮎川武二、村田浩 編/集文社
 ・物理学実験/佐々木忠義、橘高重義、永田正 著/内田老鶴圃